跨越AI性能墙的第一把钥匙:暗场无图形晶圆缺陷检测技术的深度思考
浏览量(616)
在生成式人工智能(AIGC)席卷全球的当下,算力已成为驱动数字经济发展的核心生产力与“硬通货”。然而,半导体行业在追逐更高算力的道路上,正集体面临“算力墙、功耗墙、存储墙与传输墙”的严峻挑战。要突破这些瓶颈,归根结底依赖于先进制程与先进封装技术的持续协同创新。
作为芯片制造的物理起点,晶圆的品质直接决定了后续集成千亿级晶体管的芯片的命运。在制造过程中,即使是一个数纳米级别的微小尘埃或缺陷,都可能导致整片价值不菲的晶圆报废,造成巨大损失。因此,对制造初期的裸晶圆进行严格把关——即无图形晶圆缺陷检测——成为了半导体产线上至关重要的“质检守门人”。
那么,一个关键的技术选择摆在面前:为何在有图形晶圆检测中表现优异的明场检测技术,在处理无图形晶圆时,全球领先的设备商却无一例外地转向了暗场晶圆检测?
极高的信噪比(SNR): 由于背景接近零电流,哪怕只有几个光子的缺陷信号也能被精准捕捉。 更快的扫描速度: 相比于明场检测需要处理海量的像素数据,暗场检测能以极高的频率进行点扫描或线扫描,这正是晶圆厂实现高吞吐量(Throughput)的关键。
信噪比瓶颈: 在极高速扫描下,背景噪声极易掩盖微弱的缺陷信号。 吞吐量压力: 晶圆厂对吞吐量(Throughput)的需求,要求传感器必须在极短时间内完成大面积捕捉。

接下来我们从第一性原理对暗场无图像晶圆检测技术进行拆解。
暗场检测的物理本质是信噪比(SNR)的博弈。我们的目标是在背景噪声(晶圆表面粗糙度引起的散射,即 Haze)中提取出目标信号(缺陷散射光)。换言之,收集到的散射光信号越强,对背景信号的抑制越强,越有利于提升SNR。
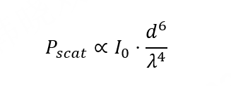
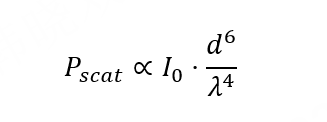
1、信号源产生(光子-物质相互作用)根据物理光学,当入射光(波长,强度 )射到尺寸为的微小缺陷时,遵循瑞利散射(Rayleigh Scattering)或米氏散射(Mie Scattering)规律。
散射截面(Scattering Cross-section,σ)在瑞利区(粒子直径 d 远小于波长 λ,即 d ≪ λ),散射光功率 Pₛcₐₜ 与粒子直径的六次方成正比,与波长的四次方成反比。其关系可用公式表示为:
推论:①缺陷越小,信号呈指数级衰减。检测10nm缺陷的难度是检测20nm缺陷难度的 26=64倍。②波长越短,信号越强。这也是业界从可见光光源向 DUV(深紫外)甚至 EUV(极紫外)演进的根本动力。
2、光子收集(几何光学限制)收集效率的基本限制 并非所有被缺陷散射的光子都能被探测器接收。收集到的光功率 受光学系统的数值孔径(NA) 和收集立体角 限制,其关系为:

暗场核心:必须物理阻挡掉镜面反射光(零级光),只收集高角度散射光。
提高信噪比:为了减少杂散光,提高信噪比,业界往往会采用 pinhole 或者 pinhole array 的方式,这一方式与共聚焦显微成像方式有类似之处,但是 pinhole 会影响整体收光信号强弱,当最小尺寸缺陷信号强度不够时,往往会增加 laser 强度,但是这又会增加 shot noise,进而影响信噪比,所以维持平衡非常重要。
新思路-提升探测器的收集效率:在暗场检测中,缺陷的散射光通常是各向同性的,而背景散射(如来自晶圆周期性图形的“薄雾”)可能具有特定的空间分布。一个设计良好的扩束镜/收集光路,可以优化其对缺陷散射角度的收集效率,相对而言,对某些强背景方向的收集可能增加不多。因此,净 SNR 通常能得到提升。这样的好处是:在探测器(譬如,光电倍增管)的入射窗前加入扩束镜,在不牺牲探测器 SNR 的情况下有效增加收光效率,而且可以减少系统光学设计对前端高 NA 设计的难度。这种方式可以避免为了选择更大靶面的光电倍增管而牺牲体积、暗电流、成本。
典型光路:晶圆 -> 高 NA 物镜(最大化收集) -> 空间滤波器(Pinhole 或傅立叶面光阑) -> 聚光镜/中继透镜 -> PMT(带或不带扩束窗)。
3、光电子转换(探测器物理)探测器的任务是克服噪声的影响,尽可能快速、准确、稳定地将微弱的光子流(Photon Flux)转换为电子流(Electron Current),所以不得不考虑探测器的 SNR。
关键指标:量子效率(QE)、增益(Gain)、读出噪声(Readout Noise)、散粒噪声(Shot Noise)和带宽(Bandwidth)等因素。
SNR的意义:绝大部分散射晶圆缺陷检测技术基于缺陷产生的散射光信号强度,noise即是Haze,缺陷信号即是Signal,所以SNR越大意味着缺陷检出率越高。10多年前,业界领先企业的阈值SNR设置为3,即散射光强度等于Haze信号的三倍时对应的缺陷尺寸为最小可分辨缺陷尺寸。随着AI算法行业的发展,SNR阈值逐渐趋近于1。
如何选择合适的光电倍增管:单纯追求某一个指标,如QE、Gain、Dark noise、Collection Efficiency没有意义,因为一个指标高无法保障整体SNR最高,因此,在比较不同探测器方案时,往往需要结合有效面积、线性范围等因素综合考虑SNR,即True_SNR。
如何为暗场无图形晶圆缺陷检测设备选择合适的探测器?
暗场成像中缺陷信号在黑色背景上非常突出,即使使用一个物理尺寸更大的像素(意味着每个像素覆盖的晶圆面积更大),缺陷产生的信号强度仍然足以从背景中被清晰区分出来。相比之下,在明场成像中,为了分辨出微弱信号,必须使用更小的像素来获取更高的空间分辨率,以捕捉缺陷边缘的微小对比度变化。这也是为什么暗场照明能够实现比明场更高的像素-缺陷对比度,使得在相同缺陷尺寸与像素速率下可进行更快速的检测。另一个角度看,暗场成像图中的亮点是缺陷散射光经过系统处理的信号表现,通常大于缺陷的实际尺寸,需结合算法分析才能准确定量缺陷大小,所以暗场(成像)检测技术往往在无图形样品而非有图形样品中使用。本质上,暗场检测更重要的是信噪比、信号识别算法及其阈值,这直接影响着最小可分辨缺陷尺寸,成像相关的空间分辨率(Spatial resolution)并不会直接影响缺陷检测率。

面对市场上林林总总的光电探测技术,半导体设备商究竟该如何评估和抉择?回归到暗场检测的实战场景,我们认为有四个维度是不可逾越的选择标准:
1、极致的信噪比:能否在“静默”中听见微弱的信号?
在暗场检测中,背景信号极低,限制系统灵敏度的核心瓶颈在于探测器的噪声。
滨松准则:优先选择具有高内部增益的探测器。光电倍增管(PMT)凭借电子倍增原理,能实现10^6倍以上的增益,使单个光电子产生的信号远超后续电路的底噪。对于追求10nm以下检测极限的设备,PMT是业界公认的基石。
2、 波长响应:是否具备“紫外(UV/DUV)”基因?
根据物理规律,散射光的强度与波长的四次方成反比。这意味着波长越短(如紫外355 nm或深紫外266 nm),越容易捕捉到微小缺陷。许多硅基探测器在紫外波段的量子效率(QE)衰减严重,且易发生紫外老化。

滨松准则:优秀的探测器必须在UV波段具有高量子效率和长寿命稳定性。滨松有专门针对半导体检测开发的紫外增强型技术,不仅提升了对短波光子的捕获率,更通过材料改良解决了长期照射下的衰减问题。
3、响应速度与带宽:能否跟上“高速扫描”的节奏?
为了提升晶圆厂的产线吞吐量,激光扫描的速度越来越快。这意味着探测器必须在纳秒(ns)级别做出响应。响应过慢会导致信号“拖尾”,从而造成缺陷定位的偏移或重叠。
滨松准则:考察上升时间(Rising Time)和脉冲半高宽。PMT由于其电子飞行时间极短,是实现高吞吐量无图形检测的最佳伴侣。
4、空间分辨与集成度:从“单点”到“多维”的跨越
现代检测设备为了追求效率,往往采用多通道采集技术。激光器在AOD或其他调制器调制成线光斑,再结合多通道线阵PMT将可以大幅提高检测速度。但是使用多个单通道PMT不仅占用巨大的物理空间,且复杂的布线会引入严重的电磁干扰。
滨松准则: 多阳极光电倍增管(Multi-anode PMT)模块是当前行业的高阶选择。它在单体结构内集成了多个独立通道,既能实现空间位置的分辨,又通过模块化设计(高度集成高压电源和信号处理电路)极大简化了OEM厂商的系统集成难度。
随着暗场无图形晶圆缺陷检测设备实现国产突破,滨松愿意与行业同仁合作,提供更加定制化、差异化的解决方案。

PMT、多阳极PMT与TDI-CCD在暗场无图形晶圆缺陷检测设备中的性能对比表


除了深度的技术分享,我们还为您准备了一份特别的见面礼。欢迎扫描下方二维码提前报名,届时亲临展台完成签到,即可参与温馨的现场打卡活动。 轻松一步,您就能将滨松定制精美冰箱贴带回家,并在活动结束后获取完整的滨松中国SEMICON CHINA 2026样本资料库。


分享至好友和朋友圈
免责声明:
网站内容来源于互联网、原创,由网络编辑负责审查,目的在于传递信息,提供专业服务,不代表本网站及新媒体平台赞同其观点和对其真实性负责。如因内容、版权问题存在异议的,请在 20个工作日内与我们取得联系,联系方式:021-80198330。网站及新媒体平台将加强监控与审核,一旦发现违反规定的内容,按国家法规处理,处理时间不超过24小时。